শ্বেতা মিত্র, কলকাতাঃ সে কাজের ক্ষেত্রে হোক বা কোথাও ঘুরতে বেড়ানোনো হোক, সকলের কাছে এখন প্রথম পছন্দ হল ট্রেন ব্যবস্থা। এমনিতে ভারতীয় রেলকে দেশের লাইফলাইন বলা হয়ে থাকে। আর এই ভারতীয় রেলের উপর চোখ বন্ধ করে ভরসা করে দেশের লক্ষ লক্ষ মানুষ প্রতিদিন নিজেদের গন্তব্যে ছুটে চলেছেন। বর্তমানে দেশজুড়ে উৎসবের আবহাওয়া বিরাজ করছে। আর এই উৎসবের আগুনে ভারতীয় রেলও সাধারণ মানুষের কথা ভাবনা চিন্তা করে একের পর এক ট্রেন চালিয়েই চলেছে। আর যার দরুন উপকৃত হচ্ছেন দেশের লক্ষ লক্ষ মানুষ। তবে এখানেই কিন্তু শেষ নয়, এবার ভারতীয় রেলের তরফে এমন একটি সিদ্ধান্ত নেওয়া হল যার জেরে উৎসবের মরসুমে লাভবান হবেন রেল যাত্রীরা। জানা গিয়েছে, হাওড়া, শিয়ালদা ও কলকাতা মিলিয়ে ৫২টি ট্রেনের সময়সূচি পরিবর্তন করল পূর্ব রেল। এই মর্মে একটি বিজ্ঞপ্তি অবধি জারি করে সকলকে চমকে দিয়েছে পূর্ব রেল। আরও বিশদে জানতে চোখ রাখুন আজকের এই লেখাটির উপর।

বড় সিদ্ধান্ত পূর্ব রেলের
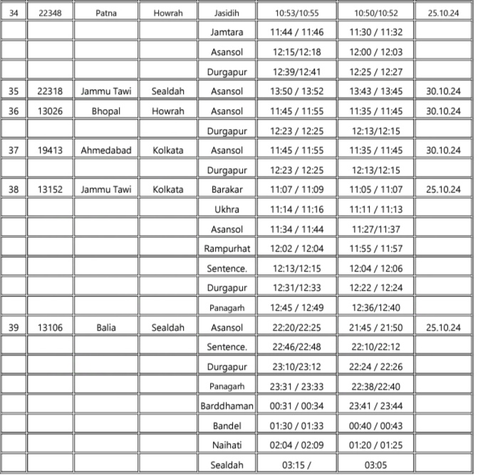
দেশে চলাচল করে এমন বহু ট্রেন এবং বিখ্যাত রুটের ট্রেনের সময়সীমা হঠাৎই বদলে দিয়েছে রেল এই পূর্ব রেল। আর রেলের এখানে সিদ্ধান্তে জেরে সাধারণ রেল যাত্রীদের আগামীকাল দিনে রেলযাত্রা আরো সুবিধার এবং মাখনের মতো মসৃণ হয়ে উঠবে বলে মনে করা হচ্ছে। প্রান্তিক স্টেশন থেকে ছাড়ার সময় বা প্রান্তিক স্টেশনে পৌঁছানোর সময় পরিবর্তন করা হয়েছে।

অমৃতসর-কলকাতা অকাল তখত এক্সপ্রেস, জম্মু তাওয়াই-হাওড়া হিমগিরি এক্সপ্রেস, কালকা-হাওড়া নেতাজি এক্সপ্রেস, সিউড়ি-শিয়ালদা মেমু এক্সপ্রেস, জম্মু তাওয়াই-শিয়ালদা হামসফর এক্সপ্রেসের মতো একাধিক ট্রেন আছে যেগুলির সময়সীমা বদলে দিয়েছে রেল।
বছরের শেষে উত্তরবঙ্গ যাবেন?
উত্তরবঙ্গ যাওয়ার পরিকল্পনা হচ্ছে বা ইতিমধ্যে ট্রেনের টিকিট কেটে রেখেছেন তাহলে আপনার জন্য রইল অত্যন্ত জরুরী খবর। উত্তরবঙ্গগামী বহু ট্রেনের সময়ও বদলে দেওয়া হয়েছে। সেগুলির মধ্যে অন্যতম হল হলদিবাড়ি-শিয়ালদা দার্জিলিং মেল, নিউ আলিপুরদুয়ার-শিয়ালদা পদাতিক এক্সপ্রেস, শিলঘাট টাউন-কলকাতা কাজিরাঙা এক্সপ্রেস।

এখন নিশ্চয়ই ভাবছেন যে রেল আচমকা এরকম সিদ্ধান্ত কেন নিল? এই বিষয়ে রেল জানিয়েছে, আসানসোল ডিভিশনের জসিডি থেকে মধুপুর অংশে রেলট্র্যাকের সর্বোচ্চ গতিবেগ বাড়িয়ে ঘণ্টায় ১৩০ কিলোমিটার করা হয়েছে। আর তার ফলে একাধিক ট্রেন দ্রুত ছুটতে পারবে।

ফলে এতগুলি মেল বা এক্সপ্রেস ট্রেনের সময়সূচি পরিবর্তন করা হল। নভেম্বর, ২০২৪ থেকে নতুন টাইমটেবিল কার্যকর হবে বলে জানিয়েছে পূর্ব রেল।













